| |
Por tratarse de un procedimiento que ha tratado de ser no solamente impersonal, sino apoyado en fundamentos experimentales y racionales, se propicia el siguiente método propuesto por el Ing. Miguel VALVANO en el Vº CONGRESO ARGENTINO DE INGENIERÍA Y ADOPTADO POR EL TRIBUNAL DE TASACIONES DE LA ARGENTINA.-
El autor mencionado, en su interesante estudio, hace previamente un análisis y crítica de los sistemas usuales de coeficientes y luego propone su método en la siguiente forma:
ESQUINA: EL MÉTODO PROPUESTO POR VALVANO
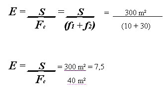
Para la correcta determinación del coeficiente de la valorización por esquina es conveniente, si se quiere proceder de un modo racional, partir de la relación entre la superficie del lote y la suma de los frentes, ya que ella es un índice de las ventajas que tiene un terreno en esquina con respecto a otro de las mismas dimensiones, situado en la mitad de la cuadra.-
En efecto, sea un lote medial de 10 m de frente por 30 m de fondo, la relación entre la superficie y su frente es:

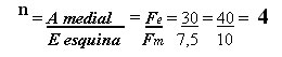
Supuesto ubicado en la esquina la relación entre superficie y suma de los frentes es:

y el cociente entre ambos valores es:

A este valor ⁿ le llamaremos índice de utilización, entendiéndose por utilización, en este caso, no sólo la mayor superficie edificable, según los reglamentos municipales, sino la mayor rentabilidad, proveniente además, de la mayor iluminación y ventilación, mejor acceso y mayor desarrollo de negocios de la planta baja (se sobrentiende que estas ventajas, fuera de la zona comercial, pueden reducirse y aun anularse). En general, puede decirse que un terreno de ⁿ > 1 es mejor que otro de ⁿ=1 (en realidad, en términos económicos, la valorización no sigue la misma ley que los índices de utilidad, sino una de menor crecimiento que es en definitiva, la que da factores de valorización por esquina, como se verá).-
Valdano no considera aplicable a la Capital Federal (por ejemplo) la opinión de autores como SOMERS (Fitte y Cervini), en el sentido de que, para igual valor en ambas calles, un lote de 30 a 40 pies de frente por una de ellas y de dimensiones normal en la otra puede valer más del doble que si ese mismo lote fuera medial. La experiencia recogida en muchos años de actuación en el Tribunal de Tasaciones por parte del Ing. Dante Guerrero, señala que ese caso podría ser una notable excepción.-
Normalmente la valorización por esquina en sectores céntricos de alto valor comercial en planta baja y de escritorios o residencial en pisos altos, oscila del 15% como mínimo y el 50% como máximo.-
Ejemplo 1:
Sea un terreno con frente a 2 calles, de $ 220 y $ 200/m² de valor unitario de lote tipo

con este valor se entra en la tabla 1, obteniéndose el porcentaje de valorización por esquina del 20% (chef. Ce1 = 1,20)
De la tabla de frente y fondo (en este caso se utiliza la del Tribunal de Tasaciones para la Capital Federal, zona céntrica) se obtiene para 13,50 m de frente por 12 m. de fondo:

Por consiguiente, el valor unitario de la esquina resulta:
Ve = 22.000 $/m² x 1,57 x 1,20 = $ 41.448/m²
Ejemplo 2:
Sea la esquina en que el frente sobre la calle lateral es de 42 m.
La valorización en esquina no alcanza a más de 30 m. a partir del vértice de la misma. Partiendo de esta base se considerará al terreno dividido en dos parcelas
Parcela a) 16 x 30 = 480 m²
Parcela b) 12 x 16 = 192 m²
 Calle 1 = $ 22.000/m²

Con este valor se obtiene de la tabla I el porcentaje de valorización por esquina de 0,27 (coeficiente Ce = 1,27).
De la tabla de frente y fondo para la Capital Federal, zona céntrica, se obtiene para un lote de 16 m x 30 m, el coeficiente de medidas: Cm1 = 1,11.
Por consiguiente, el valor de la parcela a) es:
$ 22.000/m² x 480 m² x 1,27 x 1,11 = $ 14.886.000
El valor de la parcela b) resulta de multiplicar el valor unitario de la cuadra, por el coeficiente de medida (en este caso 1,35 para un lote de 12 x 16) y por la superficie, sin tener en cuenta la influencia de la esquina:
$ 20.000/m² x 192 m² x 1,35 = $ 5.184.000
El valor total del lote esquina es la suma de los de las parcelas a) y b), es decir:
$ 14.886.000 + $ 5.184.000 = $ 20.070.000
Este valor dividido por la superficie total de la esquina, da para la misma un valor unitario de $ 29.886/m².-
Tablas del Ing. Valvano
PORCENTAJES DE VALORIZACION DE TERRENOS
Por ubicación en esquina:
ⁿ = _F_ = desarrollo frente esquina
f frente medial
ⁿ |
Tabla I
% |
Tabla II
% |
Tabla III
% |
Tabla IV
% |
1,00
1,25
1,50
1,75
2,00
2,25
2,50
2,75
3,00
3,25
3,50
3,75
4,00
4,25
4,50
4,75
5,00
5,25
5,50
5,75
6,00 |
0,15
0,17
0,19
0,20
0,22
0,24
0,26
0,27
0,29
0,31
0,33
0,34
0,36
0,38
0,40
0,41
0,43
0,45
0,47
0,48
0,50 |
0,10
0,11
0,12
0,13
0,14
0,15
0,16
0,17
0,18
0,19
0,20
0,21
0,22
0,23
0,24
0,25
0,26
0,27
0,28
0,29
0,30 |
0,05
0,06
0,07
0,07
0,08
0,09
0,10
0,10
0,11
0,12
0,13
0,13
0,14
0,15
0,16
0,16
0,17
0,18
0,19
0,19
0,20 |
0,00
0,01
0,02
0,02
0,03
0,04
0,05
0,05
0,06
0,07
0,08
0,08
0,09
0,10
0,11
0,12
0,13
0,14
0,14
0,14
0,15 |
|
|
|