Si bien el uso de tablas para determinar el coeficiente de medidas permite hallarlo con relativa facilidad, su exactitud, en la ponderación de tan importante factor de comparación, no es la misma que arroja el cálculo individual para cada terreno antecedente según sus posibilidades de aprovechamiento. Llámese aprovechamiento de un terreno al factor de ocupación total (F.O.T.) [que en algunos manuales, e inclusive en códigos urbanísticos –como el santarroseño- se denomina factor de ocupación de superficie (F.O.S.)], a la relación entre la superficie máxima del edificio posible de construir en un terreno y la superficie propia de éste.-
De acuerdo a los códigos y reglamentos de construcción en general, en lotes de mucha profundidad de edificación está autorizada hasta cierta parte del fondo y, por tal motivo, para una igual superficie de lote, es más aprovechable uno de frente ancho y poco fondo, que a la inversa. Por tal motivo el coeficiente de medidas de tablas puede ser sustituido en las planillas comparativas por el coeficiente de aprovechamiento. Ello exige un trabajo más laborioso porque para determinarlo se debe elaborar, para cada caso antecedente, un croquis que permita calcular aproximadamente la superficie cubierta edificable.-
Supongamos por ejemplo, que en un lote tipo de 10 m x 30 m (300 m²) se puede levantar, de acuerdo con las reglamentaciones, un edificio de E = 2.000 m² de superficie cubierta. El factor de ocupación será para este lote, aquél que resulte de tomar como base y ubicación la zona de estudio, el resultante de la siguiente ecuación:

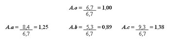
En la misma forma se calculan los F.O. de los terrenos, cuyas ventas u ofertas sirven de antecedentes:

Relacionando los F.O. obtenido entre la parcela objeto de valuación y los F.O.o obtenidos de los antecedentes, vamos a obtener los coeficientes de aprovechamiento que sustituyen al coeficiente de medidas obtenidos por las tablas antes estudiadas.-

Esto nos indica, que la relación entre las parcelas antecedentes con la parcela “problema” es: +25% la a); -11% la b); y +38% la c). Ellos nos establece que las parcelas `a’ y `c’ tienen mayor capacidad constructiva que la parcela que debemos tasar; y, será castigada (su valor) aquella individualizada como `b’ en un 11%.-
|